轉子振動的基本特性
旋轉機械的主要部件是轉子,其結構型式雖然多種多樣,但對一些簡單的旋轉機械來說,為分析和計算方便,一般都將轉子的力學模型簡化為一圓盤裝在一無質量的彈性轉軸上,轉軸兩端由剛性的軸承及軸承座支承。該模型稱為剛性支承的轉子,對它進行分析計算所得到的概念和結論用于簡單的旋轉機械是適用的。由于做了上述種種簡化,若把得到的分析結果用于較為復雜的旋轉機械時不夠精確,但基本上能夠說明轉子振動的基本特性。
大多數情況下,旋轉機械的轉子軸心線是水平的,轉子的兩個支承點在同一水平線上。設轉子上的圓盤位于轉子兩支點的中央,當轉子靜止時,由于圓盤的重量使轉子軸彎曲變形產生靜撓度,即靜變形。此時,由于靜變形較小,對轉子運動的影響不顯著,可以忽略不計,即認為圓盤的幾何中心O′與軸線AB上O點相重合,如圖1-1所示。轉子開始轉動后,由于離心力的作用,轉子產生動撓度。此時,轉子有兩種運動:一種是轉子的自身轉,即圓盤繞其軸線AO′B的轉動;另一種是弓形轉動,即彎曲的軸心線AO′B與軸承聯線AOB組成的平面繞AB軸線的轉動。

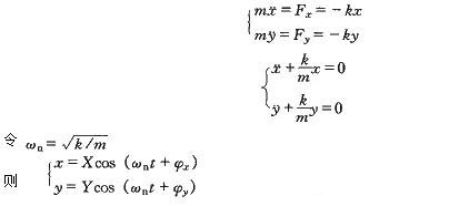
盤的質量以m表示,它所受的力是轉子的彈性力F,
F=-ka
式中,k為轉子的剛度系數,a=OO′。圓盤的運動微分方程為

式中,X、Y為振動幅度;φx、φy為相位。
由上式可知,圓盤或轉子的中心O′,在互相垂直的兩個方向作頻率為ωn 的簡諧振動。在一般情況下,振幅X、Y不相等,O′點的軌跡為一橢圓。O′的這種運動是一種“渦動”或稱“進動”。轉子的渦動方向與轉子的轉動角速度ω同向時,稱為正進動;與ω反方向時,稱為反進動。




![[field:title /]](/uploads/allimg/160926/1-160926095J5.jpg)
![[field:title /]](/uploads/allimg/170316/1-1F316164532.jpg)
![[field:title /]](/uploads/allimg/160927/1-16092G12F7.jpg)
![[field:title /]](/uploads/allimg/160926/1-160926164057.jpg)
![[field:title /]](/uploads/allimg/160929/1-160929164110.jpg)

京公網安備 11010702001993號